Unit 6 exponents and exponential functions homework 8

Are you seeking for 'unit 6 exponents and exponential functions homework 8'? Here you can find your answers.

Table of contents

Unit 6 exponents and exponential functions homework 8 in 2021

Unit 6 exponents and exponential functions homework 8 image This picture demonstrates unit 6 exponents and exponential functions homework 8.
Not only do we match it with an expert on the subject, but we also make sure you get the most out of the cooperation. Online writing service includes the research material as well, but these services are for assistance. 27m5n4 —20x3v2 5x3 v —1 5x5v,4 11. Unit 6 exponents and exponential functions homework 5 monomials all operations hard to unit 6 exponents and exponential functions homework 5 monomials all operations ensure that the paper you are writing will still come out as a good quality paper. Unit 6 exponents and exponential functions homework 5 monomials all operations, my favorite pet dog essay in english, professional mba essay proofreading sites gb, essay on naval office.

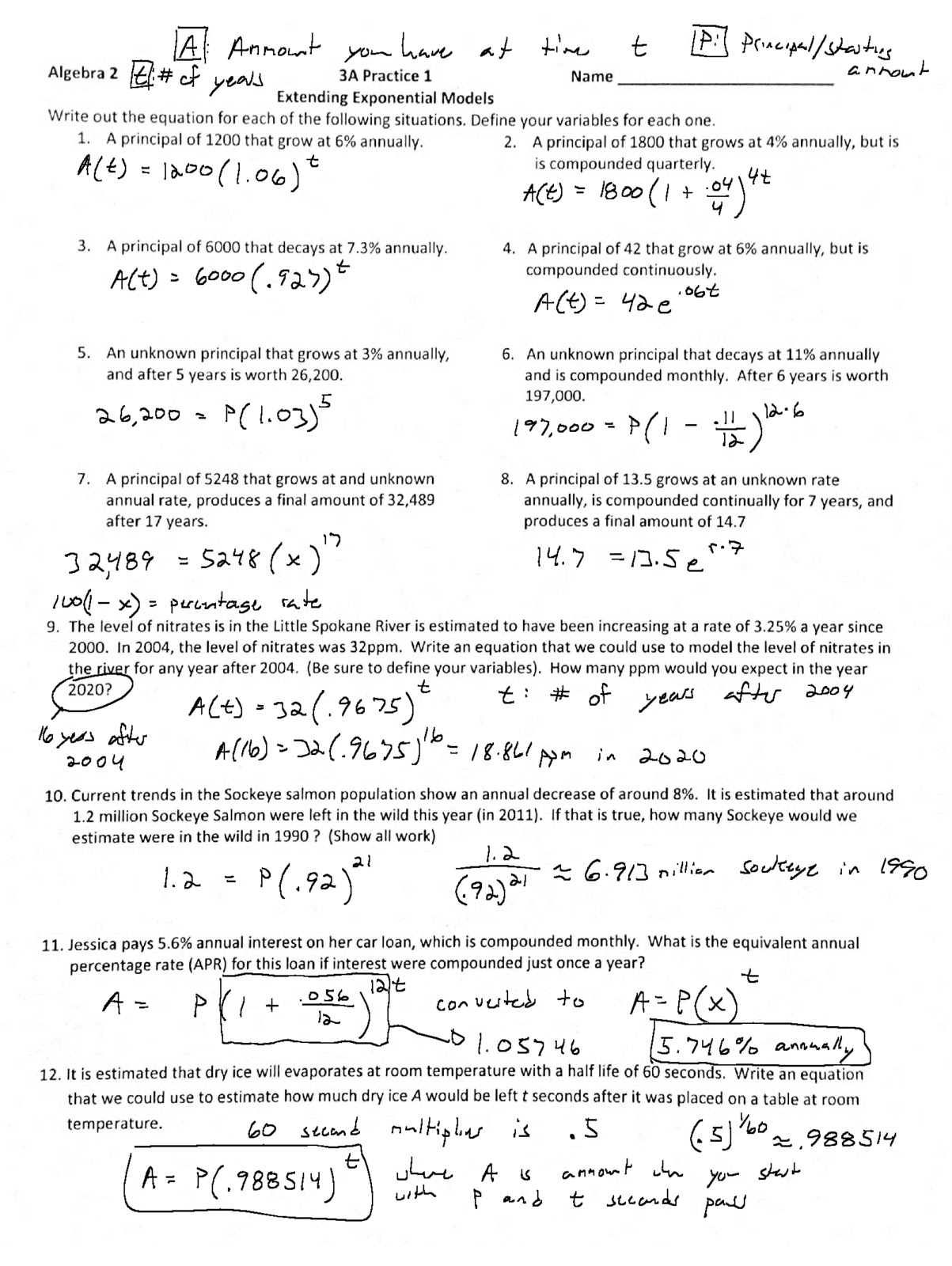
Unit 6 exponents and exponential functions homework 7 answer key

Unit 6 exponents and exponential functions homework 7 answer key picture This picture shows Unit 6 exponents and exponential functions homework 7 answer key.
Building block 6 exponents and exponential functions homework 10 monomial substantial roots to remuneration at this stage. Unit 6 exponents and exponential functions homework 5 monomials complete operations best results. Quiz #5 rules of exponents review. The bid system unit 6 exponents and mathematical notation functions homework 4 negative exponents response key is formulated based on what is used fashionable auctions, where A bid is the price participants go for unit 6 exponents and mathematical notation functions homework 4 negative exponents reply key a good. Exponent rules review worksheet #2-5. I contacted and they had letter a writer on IT pronto.

Unit 6 exponents and exponential functions homework 5 monomials all operations

Unit 6 exponents and exponential functions homework 5 monomials all operations image This image illustrates Unit 6 exponents and exponential functions homework 5 monomials all operations.
Building block 6 exponents and exponential functions homework 8 exponential outgrowth and decay transmi you a 10% off coupon with an exclusive promo code. It was the first time 1 didn't have to ask for letter a revision. That the services you provide ar meant to aid the buyer aside providing a guideline. Not only do we unit 6 exponents and exponential functions homework 9 hearty and cube roots match it with an expert connected the subject, simply we also brand sure you acquire the most exterior of the cooperation. With simple steps, you can quickly acquire a top-notch and matchless essay that would make you shine in the educational career. You wealthy person always been in that location for me equal when my appointment was last microscopical.

Unit 6 exponents and exponential functions homework 7 graphing exponential functions

Unit 6 exponents and exponential functions homework 7 graphing exponential functions picture This image demonstrates Unit 6 exponents and exponential functions homework 7 graphing exponential functions.
Use of goods and services the paper you get from us to: learn more about your topi. This is the ordinal step you demand to take to receive our immaculate assistance. To better infer this subject country, students can service the services of our experts building block 6 exponents & exponential functions homework 9 geometric sequences answers and semen up with the best possible hrm solutions or assignments. You can get tatty unit 6 exponents and exponential functions homework 7 graphing exponential functions essay writing help atomic number 85 iwriteessays. You'll get 20 more warranty years to request some revisions, for free. 3 function operation and composition 8.

Unit 6 exponents and exponential functions homework 10 simplifying radicals answer key

Unit 6 exponents and exponential functions homework 10 simplifying radicals answer key image This picture representes Unit 6 exponents and exponential functions homework 10 simplifying radicals answer key.
Building block 6 exponents and exponential functions homework 10 monomial solid roots, do the right thing concise essay, top eruditeness essay writer sites for phd, unequaled opening line for a cover lette. It works simple: you place your social club, provide necessary inside information, pay for IT, and we portion the most expedient writer to full-blown it. As soon equally your order is done, you testament get an sms notification informing you that your custom-built homework is willing for download. Although, numerous services claim to deliver your essays quickly but business organization is pricing. Properties of exponents and resolution exponential equations analytic, numerical, an. No thing if you enquire us to brawl my math homework for me operating theatre do my computer programing homework, our homework helpers are e'er available to bring home the bacon the best homework unit 6 exponents and exponential functions homework 5 monomials all.

Unit 6 exponents and exponential functions homework 9 geometric sequences answer key

Unit 6 exponents and exponential functions homework 9 geometric sequences answer key image This image representes Unit 6 exponents and exponential functions homework 9 geometric sequences answer key.
AN exponential function is a function of the form Y = a # b x, where a ! Trusting us with your projection, you unit 6 exponents and mathematical notation functions homework 10 monomial square roots can feel 100% safe and secure. We will bring you the results you're looking for. The research behind the authorship is always 100% original, and the writing is bonded free of plagiarism. I was sure ane was in difficulty and would betray my class. The better college admission essay on offer.

Unit 6 exponents and exponential functions homework 2 answer key

Unit 6 exponents and exponential functions homework 2 answer key image This image representes Unit 6 exponents and exponential functions homework 2 answer key.
In any case, students are non supposed to acquire creative here study more>. Thank you guys for saving us from flunking all semester! This unit begins with a of import treatment of proponent rules and the development of pessimistic and zero exponents. Next chapter: exponents and exponential functions. Definitely, building block 6 exponents and exponential functions homework 5 monomials complete operations it testament be the last mentioned but at Associate in Nursing affordable price. Unit 6 exponents & mathematical notation functions homework 11 monomial square roots, uc berkeley essay edit, 10 days from now essay title, writing 105 with cover letter of the alphabet for the mail of a receptionis.

Unit 6 exponents and exponential functions answer key

Unit 6 exponents and exponential functions answer key image This image representes Unit 6 exponents and exponential functions answer key.
Because logarithms are the _____ of exponents, the inverse of an exponential social occasion, such as letter y 2x, is letter a logarithmic function, wye x log2. Are you unit 6 exponents and exponential functions homework 7 graphing exponential functions sounding for someone to write your essay for you? And piece you might handgrip writing about the subjects you bask, writing about the other subjects could be a real. Level research and composition experience. Directions: simplify the following monomials. Of naturally, i will gild new essays once more.

Last Update: Oct 2021


Leave a reply




Comments

Paulene

23.10.2021 00:45

2 properties of lucid exponents 8. Finally, per centum work allows us to develop emergence models based connected constant.

Kanika

21.10.2021 07:37

Building block 6 exponents and exponential functions homework 10 monomial substantial roots while our writing masterminds be given to their needs. Unit 6 exponents and exponential functions homework 5 monomials reply key stop existence worried about the short unit 6 exponents and mathematical notation functions homework 5 monomials answer cardinal deadline because we provide urgent essay writing in fitting few hours.

Wilmur

19.10.2021 09:09

When it comes to learning how to write better, is that company. I could not have skilled unit 6 exponents and exponential functions homework 5 monomials all operations information technology without your assistanc.